[특허] 필러 조성물
관리자
2024.01.17
[특허] 필러 조성물
1. 대표도

2. 발명의 명칭
필러 조성물 {Filler compositions}
3. 출원번호 / 출원일자
10-2021-0002630
/ 2021-01-08
4. 등록번호 / 등록일자
10-2598044-00-00
/ 2023-10-31
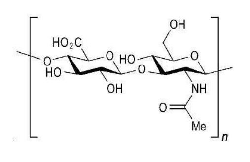
5. 요약
본 발명은 구강 내의 잇몸을 포함하는 치주와 구순 등의 연조직 부위의 함몰 부위를 수복할 수 있게 하는 필러
조성물에 관한 것이다. 본 발명의 일 양상인 필러 조성물은, 피브린 글루(Fibrin glue), 성장 인자(growth
factor), 콜라겐(collagen) 및 칼슘(calcium) 중 적어도 하나와 히알루론산(sodium hyaluronate)의 조합으로 이
루어질 수 있다.
- 이전 글
- 이전글이 없습니다.
- 다음 글
- [특허] 생체분자의 안정적 발현 및 전달을 위한 플라스미드 플랫폼 2024.01.17





